Calculus Of One Real Variable – By Pheng Kim Ving
Chapter 7: The Exponential And Logarithnic Functions – Section 7.4: Logarithmic Differentiation

 

7.4
Logarithmic Differentiation

 

 

Return To Contents
Go To Problems & Solutions

 

1. Differentiation Of The Function y = ( f (x)) g (x)

 

Let's differentiate the function y = ( f (x))g(x), where both the base and the exponent are functions of x. Since the variable
appears in both the base and the exponent, we can't apply either the power rule or the exponent rule to this function directly.

 

But first we define ( f (x))g(x) in terms of f (x) and g(x). For x where f (x) > 0, we define ( f (x))g(x) = eg(x) ln f (x). The expression
ln f (x) requires that f (x) > 0. That definition is similar to that of bx, which is bx = ex ln b. For x where f (x) = 0 and g(x) > 0,
we define (
f (x))g(x) = 0. Of course 0g(x) necessitates that g(x) > 0 for it to be defined.

 

 

Method 2

 

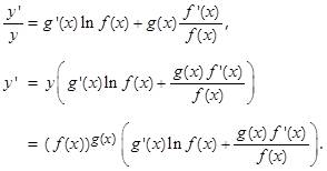
Taking the natural logarithm of both sides of y = ( f (x))g(x) we have:

 

ln y = g(x) ln f (x),

 

differentiate both sides:

 

 

Logarithmic Differentiation

 

In Method 1 we transform (  f (x))g(x) into the exponential function using the definition uv = ev ln u, to get ( f (x))g(x) =
eg(x) ln f (x). Then we differentiate eg(x) ln f (x) with respect to x utilizing the exponent rule. This is possible because the base e is a
constant. In the answer, we transform
eg(x) ln f (x) back to ( f (x))g(x).

 

In Method 2 we take the natural logarithm of both sides of the equation y = ( f (x))g(x), to obtain ln y = ln ( f (x))g(x) =
g(x) ln f (x). Then we differentiate implicitly both sides of the resulting equation ln y = g(x) ln f (x) with respect to x. Note
that (
d/dx) ln y = (1/y) dy/dx = y'/y, by the chain rule. Next we solve for y '. In the answer, we replace y by ( f (x))g(x),
since we should express
y ' in terms of x only, not of x and y. This technique is called logarithmic differentiation, because
it involves the taking of the natural logarithm and the differentiation of the resulting logarithmic equation. It allows us to
convert the differentiation of (
f (x))g(x) into the differentiation of a product.

 

Note that both Methods 1 and 2 yield the same answer.

 

Remark 1.1

 

In practice, you don't have to memorize the formula of the derivative of ( f (x))g(x). That's welcome, because it's not easy to
memorize it. Just remember one or both of the methods themselves.

 

Example 1.1

 

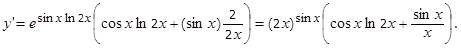
Differentiate y = (2x)sin x in 2 different ways.

 

Solution 1
 y = (2x)sin x = esin x ln 2x,

 

EOS

 

Solution 2

ln y = ln (2x)sin x = sin x ln 2x,

 

EOS

 

Of course in practice just use one method, unless you're asked to use both methods.

 

Return To Top Of Page     Go To Problems & Solutions

 

2. Differentiation Of Expressions Containing ( f (x)) g (x)

 

Example 2.1

 

Find dy/dx if y = x3(sin x)cos x using 2 different methods.

 

Solution 1
 
y = x3(sin x)cos x = x3ecos x ln sin x,

 

EOS

 

Solution 2
Utilizing logarithmic differentiation we get:

 

ln y = ln x3 (sin x)cos x = 3 ln x + cos x ln sin x,

 

EOS

 

The given function contains a term of the form ( f (x))g(x), with f (x) = sin x and g(x) = cos x. Hence we use either the
equation (
f (x))g(x) = eg(x) ln f (x) as in Solution 1 or logarithmic differentiation as in Solution 2. Again, in the answer don't forget to
replace
eg(x) ln f (x) by ( f (x))g(x), or y by the expression of the given function.

 

Again in practice just use one method, unless you're asked to use both methods.

 

Return To Top Of Page     Go To Problems & Solutions

 

3. Differentiating Products And Quotients

 

Example 3.1

 

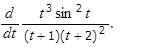
Find:

 

 

Solution
Let:

 

EOS

 

Here we have a product and a quotient, but there's no term of the form ( f (x))g(x), and we still employ logarithmic
differentiation, which therefore isn't exclusive for the form (
f (x))g(x). Of course we can use the product and quotient rules, but
doing so would be more complicated. Generally, logarithmic differentiation is advantageous when the products and/or
quotients are complicated. It enables us to convert the differentiation of a product and that of a quotient into that of a sum and
that of a difference respectively.

 

Return To Top Of Page

 

Problems & Solutions

 

1.  Differentiate y = (sec x)tan x in 2 ways:
a.  Express it as natural exponential and then differentiate.
b.  Use logarithmic differentiation.

 

Solution

 

a.  y = (sec x)tan x = etan x ln sec x,
    
y' = etan x ln sec x (sec2 x ln sec x + tan x (1/sec x) sec x tan x)
       
 = (sec x)tan x (sec2x ln sec x + tan2 x).

 

b.  ln y = ln (sec x)tan x = tan x ln sec x,

 

   

 

      y' = y(sec2 x ln sec x + tan2 x) = (sec x)tan x (sec2 x ln sec x + tan2 x).

 

Return To Top Of Page

 

Description: Description: bd10307_

 

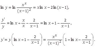
2.  Find y' using logarithmic differentiation if y = xx/(x – 1)2.

 

Solution

 

 

Return To Top Of Page

 

Description: Description: bd10307_

 

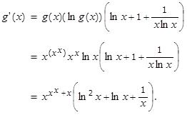
a.  Which of these functions grows more rapidly for sufficiently large x?
b.  Differentiate them.

 

Solution

 

 

    

 

Return To Top Of Page

 

Description: Description: bd10307_

 

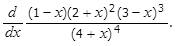
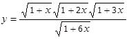
4.  Find:

 

   

 

Solution

 

Let:

 

 

Return To Top Of Page

 

Description: Description: bd10307_

 

5.  Find an equation of the tangent line to the curve:

 

    

 

     at x = 0.

 

Solution

 

 

Consequently the equation of the tangent line is y – 1 = 0(x – 0) or y = 1.

 

Return To Top Of Page     Return To Contents